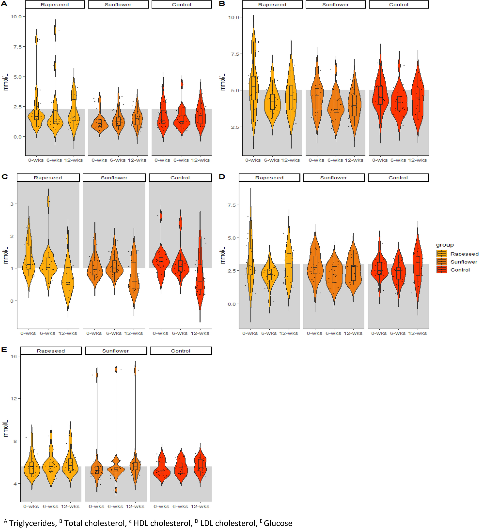
Fig. 3

Plasma lipid concentrations (triglycerides, total cholesterol, HDL cholesterol, LDL cholesterol and fasting blood glucose) at week 0, 6 and 12 of the intervention. Grey area indicates normal range for each biomarker. A Triglycerides, B total cholesterol, C HDL cholesterol, D LDL cholesterol, E glucose. Plasma samples were missing from 10 participants at baseline (4 RO, 3 SO, 3 control), 14 participants at week 6 (5 RO, 5 SO, 4 control) and 10 participants at week 12 (4 RO, 4 SO, 2 control)