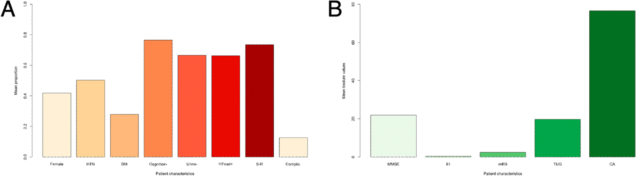
Fig. 5

A A bar plot visualizes the mean total proportion (0–1) of the following patient characteristics (minimum of 7 studies have to report on it) among all included studies in the systematic review (n = 28), in the following order and converted into percentages and rounded to zero decimals: proportion of patient sample being female (“Female”, 42%, n = 28), pre-existing arterial hypertension (“HTN”, 50%, n = 11), pre-existing diabetes mellitus (“DM”, 28%, n = 7), cognitive deficits (“Cognition- “, 77%, n = 13), urinary dysfunction (“Urine- “, 67%, n = 13), patient presenting with the Hakim triad clinically (“HTriad + ”, 63%, n = 7), mean proportion of patients being shunt-responsive (“S-R”, 74%, n = 7) and proportion of complications (“Complic.”, 13%, n = 16). B A bar plot visualizes the mean absolute values (0–1) of the following patient characteristics (minimum of 7 studies have to report on it)among all included studies in the systematic review (n = 28), in the following order and rounded to two decimals: mean MMSE score (“MMSE”, 21.9, n = 16), mean Evan’s index result (“EI”, 0.373, n = 13), modified Rankin scale (“mRS”, 2.43, n = 7), timed-up-and-go test (“TUG”, 19.7 s, n = 8) and colossal angle (“CA”, 76.6°, n = 8)