Figure 2
From: Non-enzymatic covalent modifications: a new link between metabolism and epigenetics

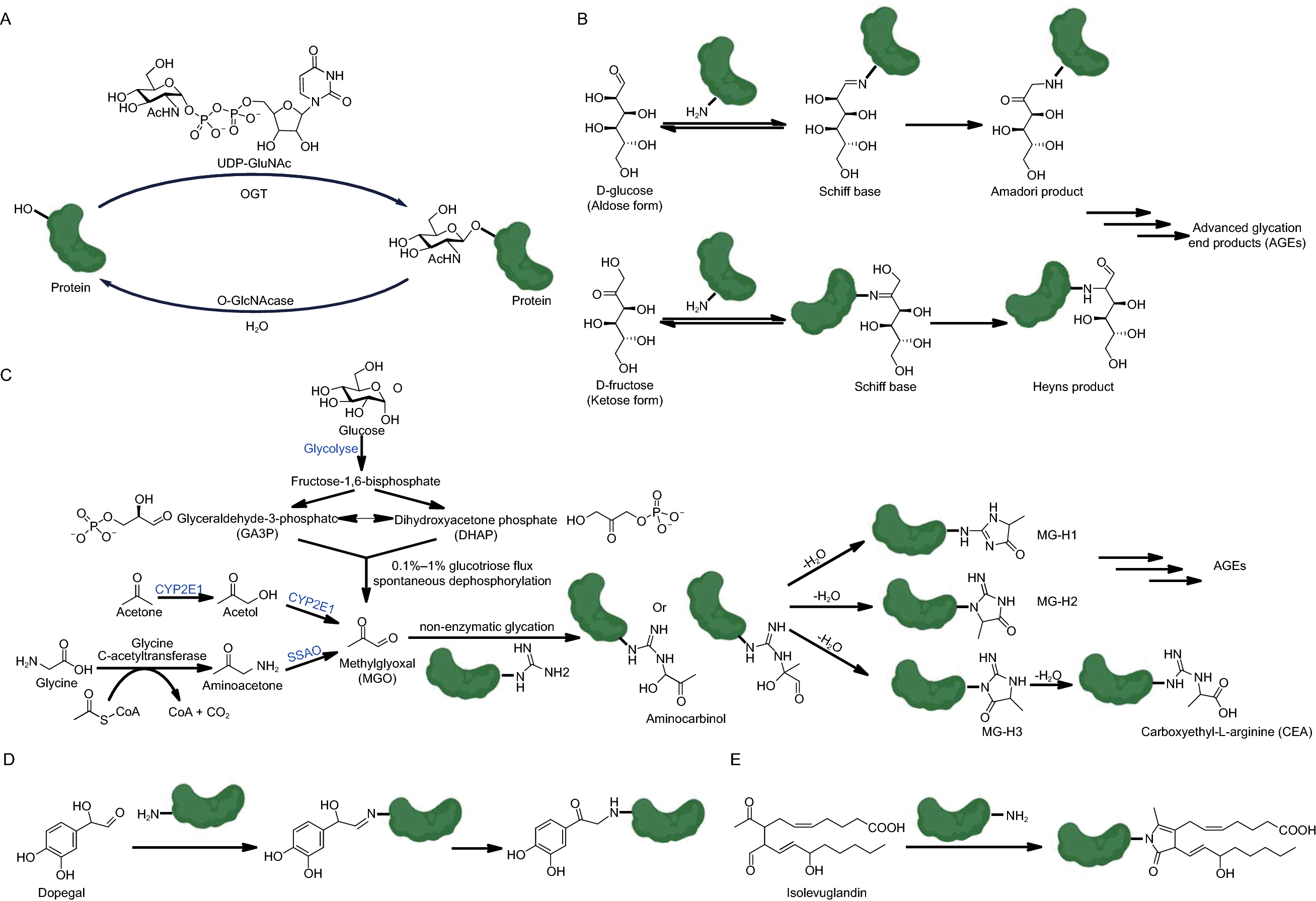
Glycation and sugar-dependent protein PTMs. (A) O-GlcNAc transferase (OGT)-catalyzed protein glycosylation. (B) Glucose and fructose-mediated protein glycation. (C) Generation of MGO in cells and the glycation reactions induced by it. NECMs induced by dopegal (D) and isolevuglandin (E) via the Maillard chemistry