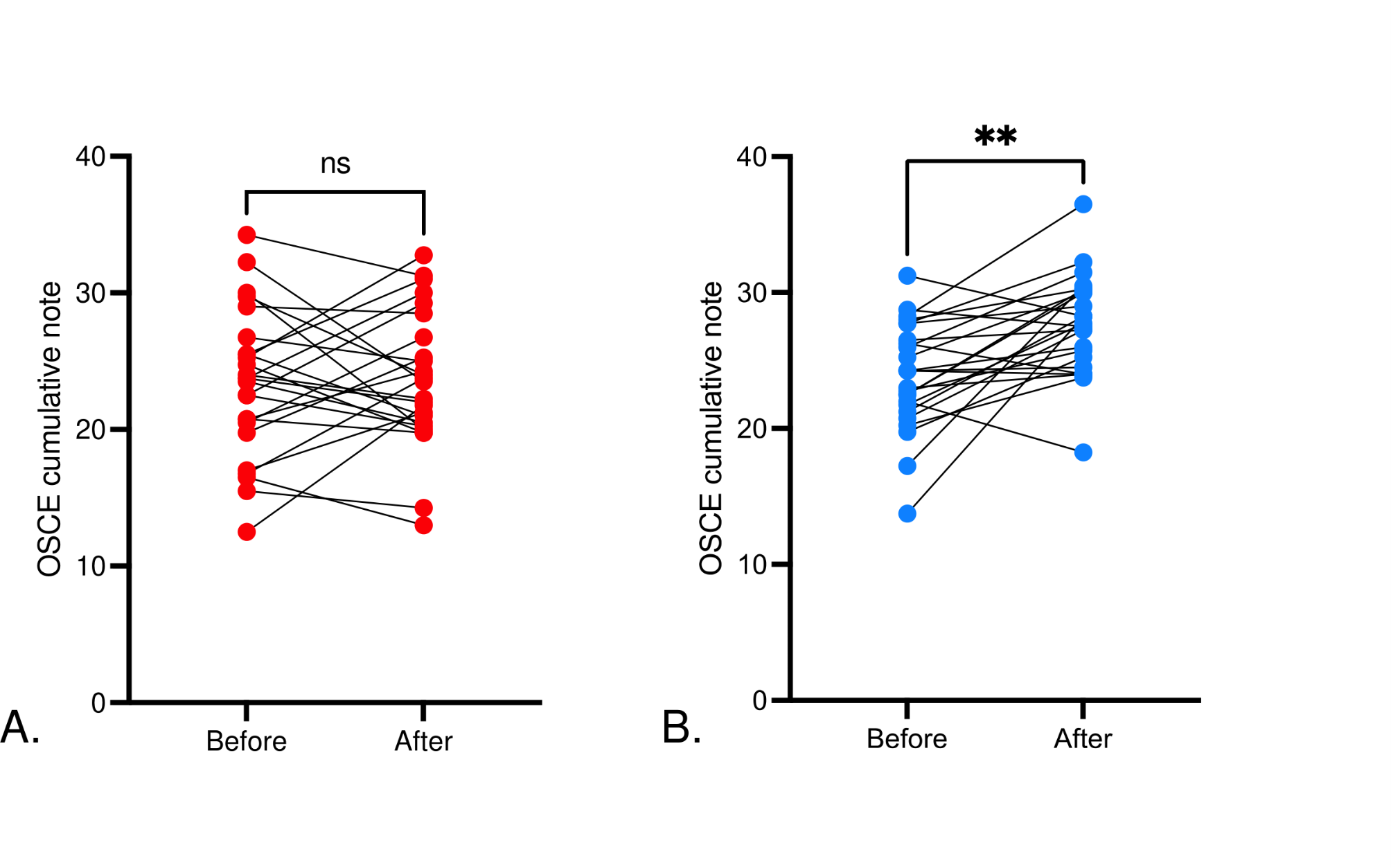
Fig. 2

Change in OSCE cumulative score. Change in OSCE cumulative score is shown for each included student before / after the interventional period for control (A, red) and podcast (B, blue) groups. **p < 0.001

Change in OSCE cumulative score. Change in OSCE cumulative score is shown for each included student before / after the interventional period for control (A, red) and podcast (B, blue) groups. **p < 0.001