Abstract
The rapid expansion of cities in sub-Saharan Africa generates increasing volumes of diversified organic wastes that require management and a high population need for local and fresh vegetables. Linking the different sources of organic materials generated in these cities with the needs of local food producers for fertilizers prepared from recycled organic materials is challenging. This requires that producers obtain the results they expect from the organic materials they recycle. Thus, recycling these organic materials in their raw form or after composting presents an opportunity for periurban agriculture, although the great variability in the quantity and quality of these materials raises questions about the consistency between their agronomic value and their economic value. In two large cities of Cameroon (Yaoundé and Bafoussam), different types of organic materials were sampled: unprocessed livestock waste and composts from manure or municipal solid waste. From an agronomic perspective, we calculated the fertilization value based on the nutrient (nitrogen, phosphorus, and potassium) content of the organic materials. From an economic perspective, we calculated the value based on the nutrient content of the organic materials and their substitution unit prices and recorded the current market price. This is the first time that this combined approach has been used in sub-Saharan Africa. Our results showed considerable variability and discrepancy in both the agronomic and the economic values. The market prices overvalued the urban composts by a factor of 6, while chicken feces were undervalued by a factor of 3. The unprocessed organic materials were the most interesting from an economic and agronomic perspective. Our findings suggest that (i) the composting process needs to be improved and (ii) the humus potential should be calculated to better assess the amendment value of organic materials and as a basis for adjusting their market price.
Similar content being viewed by others
1 Introduction
In sub-Saharan Africa, the urban population is rapidly expanding, and approximately half of the African population will live in cities by 2050 (United Nations 2014). An increasing demand for food puts pressure on the domestic agricultural sector, and this is especially true for vegetable cropping systems because vegetable crops are more perishable than cereal crops and cannot be transported over long distances as easily or stored as long as cereal crops. As a result, vegetable cropping systems are mostly found in the form of urban and periurban agriculture (Poulsen et al. 2015).
To supply the increasing urban demand and mitigate land pressure, farmers in urban and periurban areas have intensified their production systems and begun to rely heavily on imported pesticides and synthetic fertilizers (De Bon et al. 2010).
The purpose of this paper is to explore the opportunities offered by the large amounts of organic material found in the municipal solid waste (MSW) of African cities because such waste can be a valuable source of organic fertilizers that could provide a partial or total substitute for synthetic fertilizers.
Previous studies have shown that urban and periurban agriculture meet the prerequisites for recycling urban organic materials because these forms of agriculture are characterized by short distances between households, cropped land, and waste disposal facilities (Parrot et al. 2009b; Sotamenou and Parrot 2013). Waste recycling dedicated to food production can reduce the overuse of synthetic fertilizers while improving soil properties. Indeed, the total or partial substitution of organic materials for synthetic fertilizers is a well-known method of ensuring soil fertility maintenance and crop yields, particularly in sub-Saharan African soils, where organic material inputs are key to soil fertility (Vanlauwe et al. 2002). Waste recycling also involves collecting waste and reducing its volume and thus contributes to mitigating the need for treatment of urban organic materials (collection efficiency, transport costs, elimination of large volumes of waste, and landfill capacities), a problem that can be particularly acute in developing countries (Abarca Guerrero et al. 2013). Recycling sorted waste in the form of organic fertilizers can limit environmental and health hazards considering that the MSW of African cities is commonly a source of various hazards such as disease transmission (e.g., by rodents), soil contamination by trace elements (Tella et al. 2016), leaching of nitrate from manure piles (Tittonell et al. 2010), and methane emission from landfills (Ngnikam et al. 2002).
The MSW of sub-Saharan cities could potentially be recycled via composting (Couth and Trois 2012) because it may contain up to 90% biodegradable material (Temgoua et al. 2014), a major component of compost processing. Moreover, the recycling of organic materials for use as fertilizer can contribute to a circular economy (Singh and Ordoñez 2016) and may represent an economically worthwhile endeavor since the price of synthetic fertilizers, which presents fluctuations, tends to increase overall due to strong global demand (FAOSTAT 2016). Furthermore, the use of organic materials as fertilizer is environmentally advantageous for two reasons: (i) it reduces the contribution of synthetic fertilizers to the transfer of mineral elements into the groundwater (nitrates) and atmosphere (CO2, NH3, and N2O) and (ii) it avoids the greenhouse gas emissions that are generated by synthetic fertilizer production and transport over long distances because organic materials are generally used close to their place of production.
Previous studies in Cameroon have shown that farmers there use a combination of organic and synthetic soil inputs, although there is a lack of information on the agronomic quality of the organic materials they commonly use (Sotamenou and Parrot 2013). In addition, in most African cities, the market price of organic materials is the result of unregulated and unsupervised laws of supply and demand. Consequently, the market prices of these materials may not completely reflect their true fertilization value and agronomic characteristics. Therefore, an important first step is the implementation of a rational and objective measurement of the agronomic efficiency of organic materials, and the second step is establishment of a fair market price on the basis of the resulting findings. Although informal markets for organic materials are developing in most African cities (Wilson et al. 2006), data on these markets are unavailable, whereas abundant data are available on marketed synthetic and organic fertilizers. This paper aims to fill this data gap.
To clarify this issue, our study lays the foundation for an estimation of both the market value and the fertilization value of urban organic materials that are used as organic fertilizers or soil improvers in African periurban agriculture through case studies conducted in two large cities in Cameroon: Yaoundé (the capital) and Bafoussam.
2 Materials and methods
2.1 Study site and collection of samples of organic materials
Our surveys were conducted in Yaoundé, the capital of Cameroon (3° 52.0002′ N, 11° 31.0002′ E; estimated at 2.5 million inhabitants), and in Bafoussam (5° 28.665′ N, 10° 25.0554′ E; 365,000 inhabitants) (INS 2013). The total population of Cameroon was estimated at 22.8 million in 2014. Approximately 54% of the country’s population is considered urban (The World Bank 2015), and 63.7% of these households practice some form of farming (INS 2008). The climate of the region is subequatorial, with mean annual temperatures of 23.7 °C and 20 °C and mean annual rainfall of 1643 mm and 1871 mm for Yaoundé and Bafoussam, respectively (INS 2013).
Although farm animals are prohibited in these cities, the presence of manure reveals their presence, but the amounts of pure feces and manure are difficult to estimate. In Yaoundé, for example, strong seasonal variations and heavy rainfall affect both the production of MSW (between 30,000 and 50,000 tons per month) and the rate of its collection (only 43% of the MSW is collected by MSW services due to poor road conditions) (Parrot et al. 2009a). Yaoundé produces large quantities of organic materials, and these account for approximately 78% of the MSW (Sotamenou et al. et al. 2019). In this city, two local nongovernmental organizations (NGOs), Tamtam Mobile and Gevolec, recycle part of these organic materials in the form of compost. In Bafoussam, there are no municipal collection services, although another NGO, Composteurs de Bafoussam, recycles the household waste by producing compost (Fig. 1) and promoting its use.
The six main steps of MSW compost production (Bafoussam composting facility). Step 1: a Raw material is directly deposited in a pile on the ground. Sorting (large nonfermentable materials are removed) is conducted on a weekly basis at each new input of organic material, and the piles are turned over on a monthly basis. Step 2: b Compost pile after the thermophilic phase. Step 3: c Compost pile after the mesophilic phase. The volume of the pile progressively decreases, while changes in particle size and color reveal modifications in its composition (b, c). Step 4: d After 4 months, the premature compost is stored under a shelter, where it completes its maturation and is protected from the rain. Step 5: e Matured and sieved compost. Step 6: f Compost conditioned in bags. A decrease in particle size between the raw material (a) and the end product (e) can be clearly seen
This NGO volunteers to take household organic materials to the nearest composting facility in exchange for the family’s agreement to store its unsorted refuse during the week. The quantity and composition of the organic materials depend on the seasonal consumption of the households, and peak organic material volumes are reached during the rainy season.
Organic materials were sampled in 4 of the 7 districts of Yaoundé (Yaoundé I, III, IV, and VII) and in 4 of the 13 districts of Bafoussam (Diengso, Dandam, Bamendzi, and Batoukop). The samples collected in the 4 districts per city corresponded to 4 geographical replicates per city. Three types of organic materials were considered: (i) pure feces (unprocessed livestock waste), e.g., hen, goat, rabbit, and pig manures in either a “fresh” state (1–7 days) or stocked in piles (up to 12 months); (ii) manure with litter, e.g., broiler manure stocked in piles (2–7 weeks); and (iii) compost derived from MSW, household refuse, or pig manure. A total of 79 and 236 samples of organic material were collected in Yaoundé and Bafoussam, respectively. Depending on the nature and the inner heterogeneity of the organic materials, composite samples were prepared from n = 1 (e.g., pile of pig manure compost) to n = 7 (e.g., broiler litter in a poultry house) individual samples in Yaoundé and from n = 1 (e.g., pile of household refuse compost) to n = 9 (e.g., pig manure) individual samples in Bafoussam. Composite samples were prepared according to Chabalier et al. (2006). Briefly, for organic materials located in poultry houses, pigpens, or stockyards, a minimum of 15 samplings were made across the entire surface before mixing the samples in a large bucket, and the material was then successively divided into quarters to obtain a reduced quantity of approximately 1 kg. For organic materials stocked in piles, depending on the height of the pile, 15 samplings were made by forming pits or across slices/sections of the pile before mixing and quartering to yield a targeted quantity of 1 kg. For Yaoundé, organic materials of 7 different types collected in the 4 districts produced a total of 28 composite samples. For Bafoussam, organic materials of 13 different types collected in the 4 districts produced a total of 52 composite samples.
2.2 Chemical, biochemical, and spectral analyses of the organic materials
Each sample of fresh organic materials was homogenized and separated into aliquots. The pHH2O was measured in water (1/5, v/v; 1 h shaking, probe pH meter). The moisture content was determined by drying in an oven at 105 °C; to calculate the organic matter content, the ash content was measured by determining loss on ignition at 550 °C. Other aliquots were dried at 40 °C and ground to pass through a 1-mm sieve for subsequent analyses. The total nitrogen content (N) was determined by dry combustion (Dumas method, ISO 13878) using an elemental analyzer (Thermo Fisher Flash 2000™, Waltham, MA, USA). Ground aliquots were subjected to acid digestion using a mixture of HF, HNO3, and HClO4 (ISO 14869-1) and then analyzed for their phosphorus (P) and potassium (K) content using inductively coupled plasma atomic emission spectroscopy (ICP-AES) (720 Series ICP-AES system, Agilent™, Santa Clara, CA, USA).
The most abundant types of organic material in terms of their volume and occurrence in both cities (4 samples of hen droppings, 4 samples of broiler manure, and 3 samples of MSW compost) were analyzed for fiber content using the Van Soest method (Van Soest et al. 1991). Because this type of analysis is expensive (~ 200 USD) and time-consuming (1 week) and requires the use of solvents and toxic reagents; an alternative method, near-infrared spectroscopy (NIRS), was used to obtain a complete dataset that indicated the biochemical quality of each sample of organic material collected. The biochemical composition of the whole set of organic material samples (n = 80, including the 11 measured for their fiber content) was predicted using the NIRS models previously calibrated by Thuriès et al. (2005) using a wide range of organic materials. The models used were considered highly valuable because, depending on the parameter considered, their R2, standard error of cross-validation, and ratio performance to deviation varied from 0.91 to 0.97, 1.24 to 3.95 g 100 g−1 DM, and 2.5 to 4.3, respectively.
2.3 Calculation of the fertilization value and humus potential
The fertilization value was calculated by taking into account the N, P, and K contents of the organic materials. The fertilization value was expressed in N, P2O5, and K2O units, as is usual for chemical fertilizers. We did not consider the fertilizer equivalency (FE) value because a field trial has not been conducted in Cameroon for its estimation. The FE is site-dependent (soil and climate) and expresses the comparative efficiency of a fertilizer element and a reference synthetic fertilizer for plant growth.
To calculate the humus potential of organic material input into the soil, we chose the CBM-Tr method (Robin 1997a) for its affordability. The CBM-Tr value is calculated from the fiber and ash contents of the organic materials, and these values can be measured in moderately equipped laboratories. Due to the paucity of references on humus potential in the literature, we calculated the CBM-Tr index from the data (fiber fractions according to the Van Soest method) used by Lashermes et al. (2009a) to determine the indicator of potential residual organic carbon (IROC) for 273 organic materials.
2.4 Market price vs. actual fertilization value
We considered that the market price of an organic material used in agriculture depends on its potential NPK fertilization value. This value was calculated on the basis of the N, P2O5, and K2O contents of the organic materials multiplied by the price of the N, P2O5, and K2O units in inorganic fertilizers sold in international markets.
The local NGOs that manufactured and sold the organic materials in Yaoundé (Tamtam Mobile and Gevolec) and Bafoussam (Composteurs de Bafoussam) were surveyed. The market price of a 50-kg bag of urea (46% N) was 13,500 FCFA (30.87 USD), which was equal to 587 FCFA kg−1 N (1.34 USD kg−1 N) during the survey. Similarly, the price of a 50-kg bag of a compound fertilizer with 20% N, 10% P2O5, and 10% K2O was 16,000 FCFA (36.59 USD), which corresponded to 320 FCFA kg−1 NPK fertilizer. We used a 4 P2O5:1 K2O price ratio based on the 2002–2012 FAOSTAT input datasets (2016) and calculated the average annual price ratio between K2O and P2O5, which generated the following price equation: 0.2 × 587 FCFA kg−1 N + 0.1 P2O5 + 0.4 P2O5 = 320 FCFA kg−1. From this equation, we obtain the substitution prices of 405.2 FCFA kg−1 for P2O5 (0.93 USD) and 1621 FCFA kg−1 for K2O (3.70 USD).
The fertilization value calculation of the organic materials was based on the price of the fertilizers contained in a 50-kg bag. The fertilization value was computed as the substitution unit price of the N, P2O5, and K2O contents multiplied by their actual quantities measured in the organic residue samples. We then compared the fertilization value of each organic material to its current market price, i.e., its selling price on the local markets by the NGOs involved in organic material manufacturing and trade.
2.5 Statistics
All the chemical and biochemical analyses were compared using an analysis of variance (ANOVA). Since the collected organic materials differed in terms of their sampling location (Yaoundé and Bafoussam), type (pure feces, manure, and compost), and storage duration (from 1 day to 12 months), ANOVA was used to test the possible impact of these factors on the quality of the organic material. The normality of the residuals was verified using Shapiro and Wilk normality test, and homoscedasticity was evaluated by plotting residuals (empirical quantile plot of residuals vs. Gaussian theoretical quantiles). If heteroscedasticity was detected, a Box and Cox transformation was applied before rerunning ANOVA and, if a significant effect was detected, a multiple pairwise comparison test was run with Bonferroni-like correction. All statistical analyses were performed using R software (v3.6.0, R Core Team 2019, R Foundation for Statistical Computing, Vienna, Austria) at the P < 0.05 confidence level.
3 Results and discussion
Our results showed that the organic materials collected in Yaoundé and Bafoussam had highly variable chemical characteristics and highly variable potential for use as substitutes for imported synthetic fertilizers in periurban agriculture. However, a discrepancy was observed between their fertilization value and their current market price. We suggest that the humus potential of organic materials should be used as a basis for rationalizing their market price because the soil-improving property of organic materials is appreciated by periurban farmers.
3.1 Wide range in fertilization value: intrinsic and process-based variation factors
The diversity of the organic materials and of the transformation processes used in their treatment led to wide variation in the chemical characteristics of the materials, i.e., their fertilization value (Fig. 2). Variability of this type is frequently observed in both temperate (Götze et al. 2016) and tropical environments (Katongole et al. 2008).
Analytical data (moisture, N, P2O5, K2O, organic matter content, and humus potential) for the raw manures and composts collected in Bafoussam (B) and Yaoundé (Y) and comparison with the data reported in the literature (Li) (in g 100 g-1 DM) for (i) hen droppings (Agarry et al. 2010; Dekker et al. 2012; Edwards and Daniel 1992; Li et al. 2015; Nicholson et al. 1996; Olowoboko et al. 2018; Pan et al. 2009), (ii) rabbit manure (Chabalier et al. 2006; Ciesielczuk et al. 2017; Dinuccio et al. 2019; Gómez-Brandón et al. 2013; Lazcano et al. 2013; Li et al. 2015; Moral et al. 2005; Moreno-Caselles et al. 2002; Paredes et al. 2015; Wu et al., 2010; Youssef and Eissa 2017), (iii) goat manure (Agarry et al. 2010; Al-Kindi et al. 2016; Azeez et al. 2010; Cavalcante et al. 2010; Haidar et al. 2003; Kafle and Chen 2016; Lopez Fernandez et al. 2018; Mafongoya et al. 2000; Olowoboko et al. 2018; Paredes et al. 2015; Shamsul et al. 2018; Zhang et al. 2013), (iv) pig manure (Adesanya et al. 2016; Bernal et al. 2009; Dhyani et al. 2018; Hamm et al. 2016; Hjorth et al. 2010; Karimi et al. 2018; Li et al. 2015; Moreno-Caselles et al. 2002; Pampuro et al. 2016; Rao et al. 2007; Ros et al. 2006; Santos et al. 2016; Szögi et al. 2015; Wang et al. 2018; Yang et al. 2006; Loecke et al. 2004; McAndrews et al. 2006), (v) broiler manure (Carvalho et al. 2014; Edwards and Daniel 1992; Foy et al. 2014; Kim et al. 2017; Nicholson et al. 1996; Rao et al. 2007; Sahoo et al. 2017), (vi) municipal solid waste compost MSWc (Barral et al. 2009; Dimambro et al. 2007; Doña-Grimaldi et al. 2019; Francou et al. 2005; Guermoud et al. 2009; Iqbal et al. 2010; Leogrande et al. 2016; Montejo et al. 2015; Ouni et al. 2014; Warman et al. 2009; Weber et al. 2014), and (vii) pig manure compost Pc (Pampuro et al. 2016; Ros et al. 2006; Santos et al. 2016; Loecke et al. 2004; McAndrews et al. 2006). The literature data for the humus potential were recalculated using the data from Lashermes et al. (2009) according to the Robin (1997) equation. For Bafoussam and Yaoundé, one point represents one composite sample prepared from n = 1 to 9 subsamples depending on the conformation of the collection site (pile, stockyard, etc.) and the size and heterogeneity of the organic material. In the data taken from the literature, one point represents one analytical data point from an individual sample or a synthetic data point extracted from reviews. The red dots indicate the data means, and the bars indicate the standard deviation
3.1.1 Nitrogen content
Based on the total N content, two groups of organic materials were identified. The first group, which consisted of pure feces and manure with litter, had an N content ranging from 1.1 to 2.4 g 100 g−1 fresh weight (1.27–3.89 g 100 g−1 DM for the individual samples, which corresponded to 2.13–3.2 g 100 g−1 DM mean N content depending on the organic material type). The second group, which consisted of the composts, had an N content ranging from 0.3 to 0.7 100 g−1 fresh weight (0.23–1.78 g 100 g−1 DM for the individual samples, which corresponded to 0.42–1.09 g 100 g−1 DM mean N content depending on the compost type) (Fig. 2). The N contents of these two groups were consistent with the general finding that composting of raw materials, even N-rich materials, is accompanied by loss of gaseous N; thus, composts are generally poorer in N than the raw materials from which they are prepared. The total N content of the hen droppings collected in Yaoundé and Bafoussam was only half the value reported in the literature; this may be related to poor dietary content of the livestock feed (Nahm 2007) or to N loss between excretion and sampling via ammonia volatilization.
The rabbit manure collected in Bafoussam had an N content comparable to the value found in the literature with the exception of the highest value (4.67 g 100 g−1 DM) reported by Wu et al. (2010a). The same was true of the goat manure collected in Bafoussam. However, the N content of the pig manures collected in Bafoussam corresponded to the lower range of the values reported in the literature. On average, the pig manure in Bafoussam was 32% poorer in N than reported elsewhere. The N content of the broiler manure collected in Yaoundé and Bafoussam was on average 41% poorer than reported in the literature.
Because temperature is a major driver of ammonia loss from feces and manure (Li et al. 2012), the low N content found in our study could be due to the warm climate of Cameroon, which may favor N loss through ammonia emission. A similar assumption regarding possible high ammonia loss is applicable to the three compost types in combination with the possible poor N contents of the organic materials used as raw composting materials. The N content of the composts was on average 2.06 to 3.8 times lower than the values reported in the literature. In addition to the temperature, exposure of the compost piles to rain during the composting process could increase N loss via lixiviation (Faverial et al. 2016).
3.1.2 P2O5 content
The same two groups of organic materials as those found based on N content were identified (Fig. 2). The P2O5 content of the group that included pure feces, manure, and litter ranged from 0.3–3.6 g P2O5 100 g−1 fresh weight for the pig manure to 1.0–5.7 g P2O5 100 g−1 fresh weight for the hen droppings (1.55–5.68 g 100 g−1 DM and 1.13–6.92 g 100 g−1 DM for the individual samples of the pig manure and hen droppings, respectively; the mean P2O5 content values of the different types of pure feces, manure, and litter ranged from 2.82 to 4.13 g 100 g−1 DM). The lowest P2O5 content (0.2–1.0 g P2O5 100 g−1 fresh weight) was found in the compost group (0.15–1.67 g 100 g−1 DM for the individual samples, with mean P2O5 content values of the different compost types ranging from 0.35 to 1.17 g 100 g−1 DM).
The mean P2O5 content of the hen droppings, broiler manures, and pig manures collected in Yaoundé and Bafoussam was 3.6 g 100 g−1 DM, of the same order as the values reported in the literature (3.7). However, the variability in the P2O5 content of the individual samples was high: the coefficient of variation for the P2O5 content of hen droppings was 28% for those collected in Yaoundé, and it exceeded 63% for those collected in Bafoussam. High coefficients of variation were also observed for rabbit (24%), goat (33%), pig (47%), and broiler manures (11 to 26% depending on the location). This high variability may have originated from the nonstandardized dietary composition of the livestock feed.
The compost group was characterized by low and highly variable P2O5 content (19 to 46%). The low P2O5 content of the MSW composts may have resulted from the poor quality of the waste used as raw composting material. It may be that much of the better-quality waste with higher potential for domestic recycling may have been put to other uses, particularly for feeding livestock, which can generate substantial income for households.
Because the P2O5 in waste occurs mainly in a solid form, it is not particularly susceptible to leaching during the rainy season. The high variability in the P2O5 content of the MSW composts may have been due to the high seasonal variability in the nature of the raw materials composted or to differences in the composting procedures themselves (Faverial et al. 2016); for example, there may be differences in the proportions of P-poor raw materials of plant origin vs. the proportions of P-rich raw materials of animal origin.
3.1.3 K2O content
The same two groups as were found based on N or P2O5 contents were identified; pure feces, manure, and litter were in one group, and composts were in the other group (Fig. 2). The K2O content in the pure feces, manure, and litter groups ranged from 0.5–2.4 g 100 g−1 fresh weight for the rabbit manure to 1.1–2.7 g 100 g−1 fresh weight for the broiler manure (0.89–2.96 g 100 g−1 DM and 1.75–3.70 g 100 g−1 DM for the individual samples; the mean K2O content of these types of organic materials ranged from 1.86 to 2.81 g 100 g−1 DM).
The lowest K2O content of 0.1–1.1 g K2O 100 g−1 fresh weight was found in the compost group (0.18–1.91 g 100 g−1 DM for the individual samples; the mean K2O content of the different compost types ranged from 0.33 to 1.36 g 100 g−1 DM).
As above for the mean P2O5 content of several of the organic materials, the mean K2O contents of the hen droppings, rabbit manure, pig manure, and broiler manure were of the same order as the values reported in the literature. The ratios of the mean K2O content of these materials reported in the literature to the mean K2O content of the corresponding materials measured in Yaoundé and Bafoussam equaled 1.00, 1.00, 0.99, and 0.99 for hen droppings, rabbit manure, pig manure, and broiler manure, respectively. The coefficient of variation of the K2O content values for the group consisting of pure feces, manure, and litter ranged from 8 (hen droppings collected in Yaoundé) to 44% (pig manure).
Similar to N and P2O5, the lowest K2O content was found in the compost samples. Despite its high variability (108% for the MSW composts from Yaoundé), the mean K2O content was less than half of the value reported in the literature. Since the potassium in waste is in the form of salt, substantial amounts may have been leached by heavy rains.
3.1.4 Organic matter content
The organic matter content followed the same pattern as the N, P2O5, and K2O contents. A 30-g 100 g−1 DM threshold separated the group that included pure feces, manure, and litter from the compost group (Fig. 2).
In the first group, the pig manure had the highest variability (23%), with average organic matter content lower than that reported in the literature. Pig manure was sampled in a fresh state (1 day old) or from piles made of manure scraped over a 90-day period. In such fermentable material, spontaneous fermentation may have mineralized the more labile portion of the organic matter.
In the second group, the household refuse compost from Bafoussam was less variable in its organic matter content (10%) than the other composts (31 and 32%). The organic matter content was inferior (MSW compost) or comparable (household refuse compost and pig manure compost) to the lowest values reported in the literature. The MSW compost from Yaoundé and Bafoussam was poor in organic matter, although the raw materials used in the MSW composts in developing countries include larger quantities of organic materials (mean 55%, range 17–80%) than the quantities measured in Europe or the USA (30%) (Troschinetz and Mihelcic 2009). The quality of the raw materials can be questioned because it has an influence on the final quality of the compost (Montejo et al. 2015a). In Yaoundé and Bafoussam, compost piles were constructed directly on the soil surface in the composting facilities. Thus, soil inclusion during compost pile turnings may have diluted the organic matter content by mineral (soil) input; this could explain the low organic matter content of the composted material in comparison with the values reported in the literature.
3.1.5 Humus potential
The humus potential displayed the same pattern as the N, P2O5, K2O, and organic matter contents. A 12-g 100 g−1 DM threshold separated the group that included pure feces, manure, and litter from the compost group (Fig. 2).
In the first group, with the exception of a few samples that exceeded the mean humus potential measured in France by Lashermes et al. (2009a), the organic materials in Yaoundé and Bafoussam were generally less susceptible to generating humus. For example, the broiler manure from Bafoussam had an organic matter content of 17.6 g 100 g−1 DM and presented low variability (14%), whereas a value of 32.7 g 100 g−1 DM was reported in the literature. With the low organic matter content measured in Cameroon, one cannot expect that these organic materials would generate high quantities of humus after their transformation in soil. Since fiber is a key parameter in humus potential calculation (Lashermes et al. 2009a; Robin 1997a), due to the fact that during biological decomposition more degradable materials like sugars will be easily mineralized while less degradable materials like fibers mainly consisting of cellulose and lignin will be enriched, a lower amount of fiber corresponds to a lower humus potential. Wood shavings, which are rich in fiber, were the reference material used as a bedding material for the broilers, but they are becoming rarer and more difficult to source (Garcês et al. 2013). The material receiving broiler feces may have been poorer in fiber than the material used in France (mostly wood chips or straw) and thus had a lower humus potential.
For the compost group, the humus potentials of the MSW and pig manure composts were approximately one-third and one-eighth of those measured in France, respectively (Lashermes et al. 2009a). The fact that the humus potential of the MSW was much lower than that found in France while the organic matter content of the Bafoussam MSW compost was close to the lower values reported in the literature raises questions. First, it can be hypothesized that because the collected composts are poor in organic matter, likely due to soil inclusion during their processing (compost pile turnings directly on soil), their humus potential cannot be as high as that of composts that are richer in organic matter. Furthermore, some small-sized plastic residue particles may have accounted for part of the measured organic matter content (Iglesias Jiménez and Pérez García 1992) of the MSW composts under study, and plastic clearly does not contribute to the formation of humus. Thus, the humus potential of the collected composts, though already low, may actually be even lower.
3.2 Wide range of fertilization values: variation associated with type of organic material, geographical origin, and storage duration
The possibility that the location from which the organic materials were collected may have influenced the wide range of fertilization values was investigated (Table 1). Testing of the sampling location effect was applicable for hen droppings and broiler manure because they were collected in both towns. Apart from P2O5 in hen droppings and K2O in broiler manure, the sampling location did not have a significant influence (P > 0.05) on the majority of the materials’ chemical characteristics. The high variability of the analyses (as high as 33.7% for moisture) may have hidden a possible effect of sampling location on moisture and N content. The effect of sampling location on P2O5 in hen droppings and K2O in broiler manure may have originated from the use of different poultry diets in the two towns.
The duration of storage of the collected organic materials was investigated as another factor that may have influenced the wide range of fertilization values (Table 1). Storage duration had a strong effect on the moisture content of rabbit, pig, and broiler manures and urban composts. This was particularly noticeable for pig manure, an organic material that is highly susceptible to desiccation. This is consistent with the repartitioning of the moisture data for pig manure samples (Bafoussam, Fig. 2), in which one can distinguish two groups, one with approximately 75% moisture and mainly represented by fresh pig manure and another with approximately 25% moisture that is represented by older pig manure. Storage duration had a marked effect on the moisture content of urban composts. Even if the piles were not covered during the first stages of composting, thus suffering possible effects of rain that led to variability in their moisture content, the composts were matured under shelter during the maturation phase (Fig. 1). The effect of storage duration on compost moisture reveals the well-known effects of the composting process. Desiccation is due to microbial activity that provokes an elevation of temperature in the pile, causing water evaporation. Storage duration also had a marked effect on the N content of pig manure and urban composts. As already stated, ammonia volatilization may have occurred in pig manures stoked in piles. Storage duration influenced the K2O content of the organic materials; as already stated, these materials were potentially susceptible to losses due to rains. The effect of storage duration on P2O5 content may be due to desiccation with aging, which induced a concentration of this chemical element that is nonmobile and less susceptible to loss due to rain. Taken together, these observations suggest that there may be several ways to reduce the variability and improve fertilizer values.
3.3 Fertilization value and market price of the sampled organic materials
Ours findings revealed a disconnection between the fertilization value of a good and its market price (Table 2). Table 2 displays the market prices and fertilization values only for compost, hen droppings, and broiler manure since there were no market prices available at the time of the study for the other organic materials, which were not found for sale in the local markets. We can hypothesize that these products are traded in informal markets (Wilson et al. 2006) or exchanged between neighbors with no financial transaction.
Although the composts were low in N, P2O5, and K2O, their current market prices were almost 6 times higher than their fertilization values. In contrast, the hen droppings and broiler manure were undervalued in the current markets by a factor of 3. Moreover, neither the current market prices nor the fertilization values take into account the other benefits provided by organic materials. For example, compost provides soil amendment benefits such as humus potential. Although low, the humus potential was not valued here.
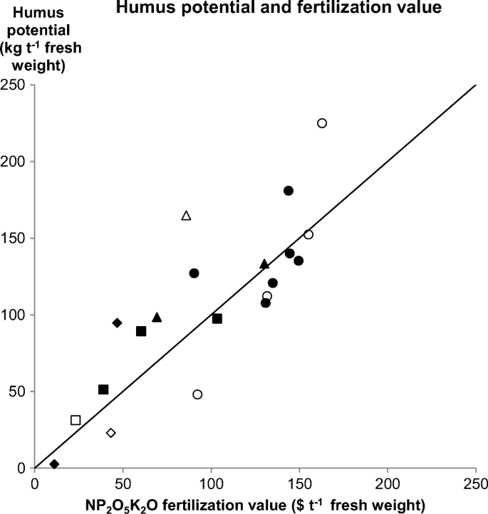
Plotting the fertilization value against the humus potential on the same graph (Fig. 3) highlights the residues with the best scores for these two factors. This representation could help define the recommended market price at which these organic materials should be sold.
Assessment of the relationship (y = 0.9539x + 13.791 R2 = 0.6768) between the humus potential (indicator of potential residual carbon transformation in soil, in kg t−1 fresh weight) and the N, P2O5, and K2O fertilization value (in US $ t−1 fresh weight) of the organic materials used as fertilizers in Cameroon aids in the selection of fertilizers that combine both properties. The line is the bisector. Broiler manure ●, hen droppings ○, rabbit manure ▲, goat manure △, pig manure ■, pig manure compost ▢, municipal solid waste compost ♦, and household compost ◊
Farmers do not seem to be aware of the fertilization value of the compost they purchase (Sotamenou and Parrot 2013). In Cameroon, the government does not require any indication of the detailed contents of organic materials and does not supervise the veracity of such details when they are given. On the other hand, the manufacturers themselves may not be aware of the quality of their own products since there were no quality controls in this sector at the time of the surveys.
3.4 Recommendations
For soil fertility purposes, the recommended organic materials would be those with a high fertilization value (e.g., organic materials containing N, P2O5, and K2O at levels corresponding to a fertilization value > 100 USD t−1 on a fresh weight basis) and a substantial amendment value (e.g., with a humus potential > 15%). The organic materials collected in Yaoundé and Bafoussam that meet these criteria are pig manure after 15 days of storage, hen droppings, fresh rabbit manure (1 day old), and 10- to 12-month-old hen droppings. However, the mid- and long-term amendment benefits of organic material application to soils have not yet been estimated from a financial perspective.
To upgrade the compost quality and reach the expected agronomic performance, we recommend two complementary methods for reducing soil nutrient losses and contamination.
First, the compost should be prepared on a waterproof surface, such as a concrete floor, to avoid local soil input during composting. This method of preparation could also reduce nutrient loss if the area allows collection and recycling of the leachate. Second, the compost piles should be protected from heavy rainfall (mainly during the rainy season) to avoid nutrient loss and contamination of the local environment. These investments should help improve the quality of the composts so that the performance of the end product justifies its market price.
Any prospective investments in the manufacturing of organic material require a minimum of useful and pertinent information. Assessing the agronomic and economic value of organic materials is necessary in developing a sustainable organic material supply chain. Currently, farmers are likely to be disappointed by the agronomic performance of urban composts, which is far below what they can expect given their market price. Information about the quality of the organic materials (NPK content and humus potential) offered for sale is not available to prospective buyers. If customers were aware of the contents of the organic materials, the demand for compost would fall along with its selling price. The reverse would occur regarding hen droppings, for which the demand would soar, eventually resulting in an increase in the selling price. To date, manufactured composts are still being purchased despite being overvalued, but the situation is unsustainable and risky for the commodity chain of organic materials. The involvement of researchers, firms, associations, NGOs, and public representatives would create an emerging market of organic materials that would be not only efficient but also safe for the users. Included in a global strategy for the management and recycling of organic materials, public incentives, for example, waste transfer stations equipped with containers located close to households, would improve the efficiency of collection of organic materials by private firms (Sotamenou et al. 2019), provide employment for youth, structure the involvement of associations and NGOs, and provide periurban farmers with accessible disposal options for organic material (Parrot et al. 2009b). The state and the public agencies could drive this new industry by instituting a coconstructed legal framework. Our study represents a first step in providing the facts and data necessary for this global organic material recycling strategy, a possible cornerstone of a circular economy.
4 Conclusions
The aim of this paper was to implement a method of rationally and objectively measuring the agronomic potential of African organic materials and establishing a fair market price. The organic materials, such as pure feces (hen droppings), manure (of broiler, rabbit, goat, or pig origin), and compost (of MSW, household, or pig manure origin), collected in two large cities in Cameroon (Bafoussam and Yaoundé), were analyzed for their nitrogen, phosphorus, potassium, and organic matter content and their humus potential, and this information was used to estimate their fertilization value and their fair market price. The organic materials were generally found to be poor in nutrients. Despite the high variability in their characteristics, it appears that the fair market price of compost is overestimated by a factor of 6; inversely, hen droppings and broiler manure are undervalued in the current markets by a factor of 3. Considering the different organic materials that are available locally, farmers should opt for pure feces or manure rather than MSW composts unless the quality (fertilization value and humus potential) of the latter is substantially improved.
Stringent quality norms and standards are necessary for the supervision and certification of the manufacturing and storage of organic materials. The implementation of a large-scale quasi-circular economy organic material industry requires systematic rational and factual measurement of the agronomic potential of organic materials and determination of their fair market price. Such an approach would improve cooperation among stakeholders interested in providing the foundations for a sustainable and safe domestic urban food supply in sub-Saharan Africa.
References
Abarca Guerrero L, Maas G, Hogland W (2013) Solid waste management challenges for cities in developing countries. Waste Manag 33(1):220–232. https://doi.org/10.1016/j.wasman.2012.09.008
Couth R, Trois C (2012) Cost effective waste management through composting in Africa. Waste Manag 32(12):2518–2525. https://doi.org/10.1016/j.wasman.2012.05.042
De Bon H, Parrot L, Moustier P (2010) Sustainable urban agriculture in developing countries. A review. Agron Sustain Dev 30(1):21–32. https://doi.org/10.1051/agro:2008062
Faverial J, Boval M, Sierra J, Sauvant D (2016) End-product quality of composts produced under tropical and temperate climates using different raw materials: a meta-analysis. J Environ Manag 183:909–916. https://doi.org/10.1016/j.jenvman.2016.09.057
Garcês A, Afonso SMS, Chilundo A, Jairoce CTS (2013) Evaluation of different litter materials for broiler production in a hot and humid environment: 1. Litter characteristics and quality. J Appl Poultry Res 22(2):168–176. https://doi.org/10.3382/japr.2012-00547
Götze R, Boldrin A, Scheutz C, Astrup TF (2016) Physico-chemical characterisation of material fractions in household waste: overview of data in literature. Waste Manag 49:3–14. https://doi.org/10.1016/j.wasman.2016.01.008
Iglesias Jiménez E, Pérez García V (1992) Relationships between organic carbon and total organic matter in municipal solid wastes and city refuse composts. Bioresour Technol 41(3):265–272. https://doi.org/10.1016/0960-8524(92)90012-M
INS (2008) Conditions de vie des populations et profil de pauvreté au Cameroun en 2007 - Rapport principal de l’ECAM III. Institut National de la Statistique, Ministère de l’Economie et des Finances, Yaoundé, Cameroon
INS (2013) Annuaire Statistique du Cameroun 2011. In: Institut National de la Statistique. Ministère de l’Economie et des Finances, Yaoundé, Cameroon
Katongole CB, Bareeba FB, Sabiiti EN, Ledin I (2008) Nutritional characterization of some tropical urban market crop wastes. Anim Feed Sci Technol 142(3-4):275–291. https://doi.org/10.1016/j.anifeedsci.2007.09.002
Lashermes G, Nicolardot B, Parnaudeau V, Thuriès L, Chaussod R, Guillotin ML, Linères M, Mary B, Metzger L, Morvan T, Tricaud A, Villette C, Houot S (2009a) Indicator of potential residual carbon in soils after exogenous organic matter application. Eur J Soil Sci 60(2):297–310. https://doi.org/10.1111/j.1365-2389.2008.01110.x
Li C, Salas W, Zhang R, Krauter C, Rotz A, Mitloehner F (2012) Manure-DNDC: a biogeochemical process model for quantifying greenhouse gas and ammonia emissions from livestock manure systems. Nutr Cycl Agroecosyst 93(2):163–200. https://doi.org/10.1007/s10705-012-9507-z
Montejo C, Costa C, Marquez MC (2015a) Influence of input material and operational performance on the physical and chemical properties of MSW compost. J Environ Manag 162:240–249. https://doi.org/10.1016/j.jenvman.2015.07.059
Nahm KH (2007) Feed formulations to reduce N excretion and ammonia emission from poultry manure. Bioresour Technol 98(12):2282–2300. https://doi.org/10.1016/j.biortech.2006.07.039
Ngnikam E, Tanawa E, Rousseaux P, Riedacker A, Gourdon R (2002) Evaluation of the potentialities to reduce greenhouse gases (GHG) emissions resulting from various treatments of municipal solid wastes (MSW) in moist tropical climates: application to Yaounde. Waste Manag Res 20(6):501–513. https://doi.org/10.1177/0734242X0202000604
Parrot L, Sotamenou J, Dia BK (2009a) Municipal solid waste management in Africa: strategies and livelihoods in Yaoundé, Cameroon. Waste Manag 29(2):986–995. https://doi.org/10.1016/j.wasman.2008.05.005
Parrot L, Sotamenou J, Kamgnia BD, Nantchouang A (2009b) Determinants of domestic waste input use in urban agriculture lowland systems in Africa: the case of Yaounde in Cameroon. Habitat Int 33(4):357–364. https://doi.org/10.1016/j.habitatint.2008.08.002
Poulsen MN, McNab PR, Clayton ML, Neff RA (2015) A systematic review of urban agriculture and food security impacts in low-income countries. Food Policy 55:131–146. https://doi.org/10.1016/j.foodpol.2015.07.002
Robin D (1997a) Intérêt de la caractérisation biochimique pour l’évaluation de la proportion de matière organique stable après décomposition dans le sol et la classification des produits organominéraux. Agronomie 17:157–171. https://hal.archives-ouvertes.fr/hal-00885834
Singh J, Ordoñez I (2016) Resource recovery from post-consumer waste: important lessons for the upcoming circular economy. J Clean Prod 134(Part A):342–353. https://doi.org/10.1016/j.jclepro.2015.12.020
Sotamenou J, Parrot L (2013) Sustainable urban agriculture and the adoption of composts in Cameroon. Int J Agric Sustain 11(3):282–295. https://doi.org/10.1080/14735903.2013.811858
Sotamenou J, De Jaeger S, Rousseau S (2019) Drivers of legal and illegal solid waste disposal in the Global South - The case of households in Yaoundé (Cameroon). J Environ Manage 240:321–330. https://doi.org/10.1016/j.jenvman.2019.03.098
Tella M, Bravin MN, Thuries L, Cazevieille P, Chevassus-Rosset C, Collin B, Chaurand P, Legros S, Doelsch E (2016) Increased zinc and copper availability in organic waste amended soil potentially involving distinct release mechanisms. Environ Pollut 212:299–306. https://doi.org/10.1016/j.envpol.2016.01.077
Temgoua E, Ngnikam E, Dameni H, Kouedeu-Kameni G (2014) Valorisation des ordures ménagères par compostage dans la ville de Dschang, Cameroun. Tropicultura 32(1):28–36
Thuriès L, Bastianelli D, Davrieux F, Bonnal L, Oliver R, Pansu M, Feller C (2005) Prediction by near infrared spectroscopy of the composition of plant raw materials from the organic fertiliser industry and of crop residues from tropical agrosystems. J Near Infrared Spectrosc 13(4):187–199. https://doi.org/10.1255/jnirs.537
Tittonell P, Rufino MC, Janssen BH, Giller KE (2010) Carbon and nutrient losses during manure storage under traditional and improved practices in smallholder crop-livestock systems-evidence from Kenya. Plant Soil 328(1-2):253–269. https://doi.org/10.1007/s11104-009-0107-x
Troschinetz AM, Mihelcic JR (2009) Sustainable recycling of municipal solid waste in developing countries. Waste Manag 29(2):915–923. https://doi.org/10.1016/j.wasman.2008.04.016
Van Soest PJ, Robertson JB, Lewis BA (1991) Symposium: carbohydrate methodology, metabolism, and nutritional implications in dairy cattle. Methods for dietary fiber, neutral detergent fiber, and nonstarch polysaccharides in relation to animal nutrition. J Dairy Sci 74(10):3583–3597
Vanlauwe B, Diels J, Sanginga N, Merckx R (eds) (2002) Integrated plant nutrient management in Sub-Saharan Africa: from concept to practice. CAB International, Wallingford
Wilson DC, Velis C, Cheeseman C (2006) Role of informal sector recycling in waste management in developing countries. Habitat Int 30(4):797–808. https://doi.org/10.1016/j.habitatint.2005.09.005
Wu CL, Shen QR, Mao JD, Xu YC (2010a) Fate of N-15 after combined application of rabbit manure and inorganic N fertilizers in a rice-wheat rotation system. Biol Fertil Soils 46(2):127–137. https://doi.org/10.1007/s00374-009-0420-9
Web references:
FAOSTAT (2016). FAO statistics division. http://www.fao.org/faostat/en/#home. Accessed 17/08/2017
The World Bank (2015) 3.12 World bank indicators: urbanization. http://wdi.worldbank.org/table/3.12. Accessed 10/06/2016
United-Nations (2014) Department of Economic and Social Affairs, Population Division. World urbanization prospects: the 2014 revision, Highlights (ST/ESA/SER.A/352). https://esa.un.org/unpd/wup/publications/files/wup2014-highlights.pdf Accessed 19/12/2018
R Core Team (2019) R: a language and environment for statistical computing. R Foundation for Statistical Computing, Vienna URL http://www.R-project.org/ Accessed 28/05/2019
References used to build FIGURE 2
Adesanya T, Akinremi O, Zvomuya F (2016) Physical properties of an Orthic Black Chernozem after 5 years of liquid and solid pig manure application to annual and perennial crops. Can J Soil Sci 96(2):145–153. https://doi.org/10.1139/cjss-2015-0086
Agarry SE, Owabor CN, Yusuf RO (2010) Bioremediation of soil artificially contaminated with petroleum hydrocarbon oil mixtures: evaluation of the use of animal manure and chemical fertilizer. Bioremediation Journal 14(4):189–195. https://doi.org/10.1080/10889868.2010.514965
Al-Kindi A, Dickhoefer U, Schlecht E, Sundrum A, Schiborra A (2016) Effects of quebracho tannin extract (Schinopsis balansae Engl.) and activated charcoal on nitrogen balance, rumen microbial protein synthesis and faecal composition of growing Boer goats. Arch Anim Nutr 70(4):307–321. https://doi.org/10.1080/1745039x.2016.1175807
Azeez JO, Van Averbeke W, Okorogbona AOM (2010) Differential responses in yield of pumpkin (Cucurbita maxima L.) and nightshade (Solanum retroflexum Dun.) to the application of three animal manures. Bioresour Technol 101(7):2499–2505. https://doi.org/10.1016/j.biortech.2009.10.095
Barral MT, Paradelo R, Moldes AB, Domínguez M, Díaz-Fierros F (2009) Utilization of MSW compost for organic matter conservation in agricultural soils of NW Spain. Resour Conserv Recycl 53(9):529–534. https://doi.org/10.1016/j.resconrec.2009.04.001
Bernal MP, Alburquerque JA, Moral R (2009) Composting of animal manures and chemical criteria for compost maturity assessment. Review Biores Technol 100(22):5444–5453. https://doi.org/10.1016/j.biortech.2008.11.027
Carvalho C, Litz F, Fernandes E, Silveira M, Martins JS, Fonseca L, Zanardo J (2014) Litter characteristics and pododermatitis incidence in broilers fed a sorghum-based diet. Brazil J Poultry Sci 16:291–296
Cavalcante LF, Diniz AA, dos Santos LCF, Rebequi AM, Nunes JC, Brehm MAD (2010) Macronutrient contents in okra plants under different sources and levels of organic matter on soil. Semina-Ciencias Agrarias 31(1):19–27. https://doi.org/10.5433/1679-0359.2010v31n1p19
Chabalier P-F, Van de Kerchove V, Saint Macary H (2006) Guide de la fertilisation organique à La Réunion. CA974, Saint Denis
Ciesielczuk T, Poluszynska J, Rosik-Dulewska C (2017) Homemade slow-action fertilizers, as an economic solution for organic food production. J Ecol Eng 18(2):78–85. https://doi.org/10.12911/22998993/68139
Dekker SEM, Aarnink AJA, De Boer IJM, Koerkamp PWGG (2012) Total loss and distribution of nitrogen and phosphorus in the outdoor run of organic laying hens. Br Poult Sci 53(6):731–740. https://doi.org/10.1080/00071668.2012.749342
Dhyani V, Kumar Awasthi M, Wang Q, Kumar J, Ren X, Zhao J, Chen H, Wang M, Bhaskar T, Zhang Z (2018) Effect of composting on the thermal decomposition behavior and kinetic parameters of pig manure-derived solid waste. Bioresour Technol 252:59–65. https://doi.org/10.1016/j.biortech.2017.12.083
Dimambro ME, Lillywhite RD, Rahn CR (2007) The physical, chemical and microbial characteristics of biodegradable municipal waste derived composts. Compost Sci Util 15(4):243–252. https://doi.org/10.1080/1065657X.2007.10702340
Dinuccio E, Biagini D, Rosato R, Balsari P, Lazzaroni C (2019) Organic matter and nitrogen balance in rabbit fattening and gaseous emissions during manure storage and simulated land application. Agric Ecosyst Environ 269:30–38. https://doi.org/10.1016/j.agee.2018.09.018
Doña-Grimaldi VM, Palma A, Ruiz-Montoya M, Morales E, Díaz MJ (2019) Energetic valorization of MSW compost valorization by selecting the maturity conditions. J Environ Manag 238:153–158. https://doi.org/10.1016/j.jenvman.2019.02.125
Edwards DR, Daniel TC (1992) Environmental impacts of on-farm poultry waste disposal — a review. Bioresour Technol 41(1):9–33. https://doi.org/10.1016/0960-8524(92)90094-E
Foy RH, Ball MEE, George J (2014) Assessing changes in the composition of broiler litters from commercial poultry units in Northern Ireland following the adoption of phytase in diets. Poult Sci 93(11):2718–2723. https://doi.org/10.3382/ps.2014-04107
Francou C, Poitrenaud M, Houot S (2005) Stabilization of organic matter during composting: influence of process and feedstocks. Compost Sci Util 13(1):72–83. https://doi.org/10.1080/1065657X.2005.10702220
Gómez-Brandón M, Lores M, Domínguez J (2013) Changes in chemical and microbiological properties of rabbit manure in a continuous-feeding vermicomposting system. Bioresour Technol 128:310–316. https://doi.org/10.1016/j.biortech.2012.10.112
Guermoud N, Ouadjnia F, Abdelmalek F, Taleb F, Addou A (2009) Municipal solid waste in Mostaganem city (Western Algeria). Waste Manag 29(2):896–902. https://doi.org/10.1016/j.wasman.2008.03.027
Haidar MA, Bibi W, Sidahmed MM (2003) Response of branched broomrape (Orobanche ramosa) growth and development to various soil amendments in potato. Crop Prot 22(2):291–294. https://doi.org/10.1016/S0261-2194(02)00150-3
Hamm AC, Tenuta M, Krause DO, Ominski KH, Tkachuk VL, Flaten DN (2016) Bacterial communities of an agricultural soil amended with solid pig and dairy manures, and urea fertilizer. Appl Soil Ecol 103:61–71. https://doi.org/10.1016/j.apsoil.2016.02.015
Hjorth M, Christensen KV, Christensen ML, Sommer SG (2010) Solid-liquid separation of animal slurry in theory and practice. A RevAgron Sustain Dev 30(1):153–180. https://doi.org/10.1051/agro/2009010
Iqbal MK, Shafiq T, Hussain A, Ahmed K (2010) Effect of enrichment on chemical properties of MSW compost. Bioresour Technol 101(15):5969–5977. https://doi.org/10.1016/j.biortech.2010.02.105
Kafle GK, Chen L (2016) Comparison on batch anaerobic digestion of five different livestock manures and prediction of biochemical methane potential (BMP) using different statistical models. Waste Manag 48:492–502. https://doi.org/10.1016/j.wasman.2015.10.021
Karimi R, Akinremi W, Flaten D (2018) Nitrogen and phosphorus uptake from solid and liquid pig manure in perennial and annual cropping systems. Can J Plant Sci 98(3):771–781. https://doi.org/10.1139/cjps-2017-0160
Kim JH, Han GP, Shin JE, Kil DY (2017) Effect of dietary calcium concentrations in phytase-containing diets on growth performance, bone mineralization, litter quality, and footpad dermatitis score in broiler chickens. Anim Feed Sci Technol 229:13–18. https://doi.org/10.1016/j.anifeedsci.2017.04.008
Lashermes G, Nicolardot B, Parnaudeau V, Thuriès L, Chaussod R, Guillotin ML, Linères M, Mary B, Metzger L, Morvan T, Tricaud A, Villette C, Houot S (2009b) Indicator of potential residual carbon in soils after exogenous organic matter application. Eur J Soil Sci 60(2):297–310. https://doi.org/10.1111/j.1365-2389.2008.01110.x
Lazcano C, Gomez-Brandon M, Revilla P, Dominguez J (2013) Short-term effects of organic and inorganic fertilizers on soil microbial community structure and function. Biol Fertil Soils 49(6):723–733. https://doi.org/10.1007/s00374-012-0761-7
Leogrande R, Vitti C, Lopedota O, Ventrella D, Montemurro F (2016) Saline water and MSW compost: effects on yield of maize crop and soil responses. J Plant Nutr 39(13):1863–1873. https://doi.org/10.1080/01904167.2016.1187744
Li K, Liu R, Sun C (2015) Comparison of anaerobic digestion characteristics and kinetics of four livestock manures with different substrate concentrations. Bioresour Technol 198:133–140. https://doi.org/10.1016/j.biortech.2015.08.151
Loecke TD, Liebman M, Cambardella CA, Richard TL (2004) Corn growth responses to composted and fresh solid swine manures. Crop Sci 44(1):177–184. https://doi.org/10.2135/cropsci2004.1770b
Lopez Fernandez S, Serrato Cuevas R, Castelan Ortega OA, Aviles Nova F (2018) Comparison between two methods of ventilation in the chemical composition of compost of livestocks. Revista Int de Contaminacion Ambiental 34(2):263–271. https://doi.org/10.20937/rica.2018.34.02.07
Mafongoya PL, Barak P, Reed JD (2000) Carbon, nitrogen and phosphorus mineralization of tree leaves and manure. Biol Fertil Soils 30(4):298–305. https://doi.org/10.1007/s003740050007
McAndrews GM, Liebman M, Cambardella CA, Richard TL (2006) Residual effects of composted and fresh solid swine (Sus scrofa L.) manure on soybean [Glycine max (L.) Merr.] growth and yield. Agron J 98(4):873–882. https://doi.org/10.2134/agronj2004.0078
Montejo C, Costa C, Marquez MC (2015b) Influence of input material and operational performance on the physical and chemical properties of MSW compost. J Environ Manag 162:240–249. https://doi.org/10.1016/j.jenvman.2015.07.059
Moral R, Moreno-Caselles J, Perez-Murcia MD, Perez-Espinosa A, Rufete B, Paredes C (2005) Characterisation of the organic matter pool in manures. Bioresour Technol 96(2):153–158. https://doi.org/10.1016/j.biortech.2004.05.003
Moreno-Caselles J, Moral R, Perez-Murcia M, Perez-Espinosa A, Rufete B (2002) Nutrient value of animal manures in front of environmental hazards. Commun Soil Sci Plant Anal 33(15-18):3023–3032. https://doi.org/10.1081/CSS-120014499
Nicholson FA, Chambers BJ, Smith KA (1996) Nutrient composition of poultry manures in England and Wales. Bioresour Technol 58(3):279–284. https://doi.org/10.1016/S0960-8524(97)86087-7
Olowoboko TB, Azeez JO, Olujimi OO, Babalola OA (2018) Comparative evaluation of animal manures and their ashes on soil pH and electrical conductivity in some Southwestern Nigerian soils. Commun Soil Sci Plant Anal 49(12):1442–1454. https://doi.org/10.1080/00103624.2018.1464184
Ouni Y, Albacete A, Cantero E, Lakhdar A, Abdelly C, Pérez-Alfocea F, Barhoumi Z (2014) Influence of municipal solid waste (MSW) compost on hormonal status and biomass partitioning in two forage species growing under saline soil conditions. Ecol Eng 64:142–150. https://doi.org/10.1016/j.ecoleng.2013.12.053
Pampuro N, Dinuccio E, Balsari P, Cavallo E (2016) Evaluation of two composting strategies for making pig slurry solid fraction suitable for pelletizing. Atmos Poll Res 7(2):288–293. https://doi.org/10.1016/j.apr.2015.10.001
Pan J, Fadel JG, Zhang R, El-Mashad HM, Ying Y, Rumsey T (2009) Evaluation of sample preservation methods for poultry manure. Poult Sci 88(8):1528–1535. https://doi.org/10.3382/ps.2008-00363
Paredes C, Perez-Murcia MD, Bustamante MA, Perez-Espinosa A, Agullo E, Moreno-Caselles J (2015) Valorization of Mediterranean livestock manures: composting of rabbit and goat manure and quality assessment of the compost obtained. Commun Soil Sci Plant Anal 46:248–255. https://doi.org/10.1080/00103624.2014.989027
Rao JR, Watabe M, Stewart TA, Millar BC, Moore JE (2007) Pelleted organo-mineral fertilisers from composted pig slurry solids, animal wastes and spent mushroom compost for amenity grasslands. Waste Manag 27(9):1117–1128. https://doi.org/10.1016/j.wasman.2006.06.010
Robin D (1997b) Intérêt de la caractérisation biochimique pour l’évaluation de la proportion de matière organique stable après décomposition dans le sol et la classification des produits organominéraux. Agronomie 17:157–171. https://hal.archives-ouvertes.fr/hal-00885834
Ros M, García C, Hernández T (2006) A full-scale study of treatment of pig slurry by composting: kinetic changes in chemical and microbial properties. Waste Manag 26(10):1108–1118. https://doi.org/10.1016/j.wasman.2005.08.008
Sahoo SP, Kaur D, Sethi APS, Sharma A, Chandra M, Chandrahas (2017) Effect of chemically amended litter on litter quality and broiler performance in winter. J Appl Anim Res 45(1):533–537. https://doi.org/10.1080/09712119.2016.1150846
Santos A, Bustamante MA, Tortosa G, Moral R, Bernal MP (2016) Gaseous emissions and process development during composting of pig slurry: the influence of the proportion of cotton gin waste. J Clean Prod 112:81–90. https://doi.org/10.1016/j.jclepro.2015.08.084
Shamsul NS, Kamarudin SK, Rahman NA (2018) Study on the physical and chemical composition of agro wastes for the production of 5-hydroxymethylfurfural. Bioresour Technol 247:821–828. https://doi.org/10.1016/j.biortech.2017.09.140
Szögi AA, Vanotti MB, Hunt PG (2015) Phosphorus recovery from pig manure solids prior to land application. J Environ Manag 157:1–7. https://doi.org/10.1016/j.jenvman.2015.04.010
Wang Y, Li G, Chi M, Sun Y, Zhang J, Jiang S, Cui Z (2018) Effects of co-digestion of cucumber residues to corn stover and pig manure ratio on methane production in solid state anaerobic digestion. Bioresour Technol 250:328–336. https://doi.org/10.1016/j.biortech.2017.11.055
Warman PR, Rodd AV, Hicklenton P (2009) The effect of MSW compost and fertilizer on extractable soil elements and the growth of winter squash in Nova Scotia. Agric Ecosyst Environ 133(1-2):98–102. https://doi.org/10.1016/j.agee.2009.05.010
Weber J, Kocowicz A, Bekier J, Jamroz E, Tyszka R, Debicka M, Parylak D, Kordas L (2014) The effect of a sandy soil amendment with municipal solid waste (MSW) compost on nitrogen uptake efficiency by plants. Eur J Agron 54:54–60. https://doi.org/10.1016/j.eja.2013.11.014
Wu C-L, Shen Q-R, Mao J-D, Xu Y-C (2010b) Fate of 15 N after combined application of rabbit manure and inorganic N fertilizers in a rice–wheat rotation system. Biol Fertil Soils 46(2):127–137. https://doi.org/10.1007/s00374-009-0420-9
Yang Z, Hana L, Fan X (2006) Rapidly estimating nutrient contents of fattening pig manure from floor scrapings by near infrared reflectance spectroscopy. J Near Infrared Spectrosc 14:261–268
Youssef MA, Eissa MA (2017) Comparison between organic and inorganic nutrition for tomato. J Plant Nutr 40(13):1900–1907. https://doi.org/10.1080/01904167.2016.1270309
Zhang T, Liu L, Song Z, Ren G, Feng Y, Han X, Yang G (2013) Biogas production by co-digestion of goat manure with three crop residues. PLoS One 8(6):e66845. https://doi.org/10.1371/journal.pone.0066845
Acknowledgments
The authors wish to thank Bernard Foully and the French Agency for the Environment and Energy Management (ADEME) for comments on previous drafts of this paper. They also thank Sabine Houot for her permission to use the data from Gwénaelle Lashermes’ work to recalculate the humus potential of the organic materials collected in France, Emmanuel Doelsch and Frédéric Chiroleu for their highly appreciated assistance in building the graphical synthesis of the data from the literature and/or R scripts and statistical analysis, Cécile Fovet-Rabot for her useful comments on an earlier version of this paper, and Anya Cockle-Betian and AJE for reviewing the English manuscript. The authors are grateful to the journal’s editors and two anonymous reviewers for their useful suggestions.
Funding
Joel Sotamenou was granted a PhD scholarship cofunded by the French Ministry of Foreign Affairs in Cameroon (grant SCAC-2006) and CIRAD (French agricultural research and international cooperation organization for the sustainable development of tropical and Mediterranean regions).
Author information
Authors and Affiliations
Corresponding author
Ethics declarations
Conflict of interest
The authors declare that they have no conflict of interest.
Additional information
Publisher’s note
Springer Nature remains neutral with regard to jurisdictional claims in published maps and institutional affiliations.
Rights and permissions
This article is published under an open access license. Please check the 'Copyright Information' section either on this page or in the PDF for details of this license and what re-use is permitted. If your intended use exceeds what is permitted by the license or if you are unable to locate the licence and re-use information, please contact the Rights and Permissions team.
About this article
Cite this article
Thuriès, L.JM., Ganry, F., Sotamenou, J. et al. Cash for trash: an agro-economic value assessment of urban organic materials used as fertilizers in Cameroon. Agron. Sustain. Dev. 39, 52 (2019). https://doi.org/10.1007/s13593-019-0598-7
Accepted:
Published:
Version of record:
DOI: https://doi.org/10.1007/s13593-019-0598-7





